当前位置:肿瘤瞭望>资讯>指南>正文

JNCCN丨非转移性前列腺癌患者接受指南推荐治疗方案(NCCN指南)的长期疗效

作者:肿瘤瞭望   日期:2025/8/15 10:55:15  浏览量:4020

肿瘤瞭望版权所有,谢绝任何形式转载,侵犯版权者必予法律追究。

非转移性前列腺癌的治疗方法主要包括主动监测、根治性前列腺切除术、根治性放疗等,其临床决策很大程度取决于疾病的风险分层。近期,一项来自瑞典的研究分析了不同风险分层的非转移性前列腺癌患者按照NCCN指南推荐进行治疗的长期生存及死亡因素(前列腺癌相关或其他因素),肿瘤瞭望-泌尿时讯特别整理,以飨读者。

编者按:非转移性前列腺癌的治疗方法主要包括主动监测、根治性前列腺切除术、根治性放疗等,其临床决策很大程度取决于疾病的风险分层。近期,一项来自瑞典的研究分析了不同风险分层的非转移性前列腺癌患者按照NCCN指南推荐进行治疗的长期生存及死亡因素(前列腺癌相关或其他因素),肿瘤瞭望-泌尿时讯特别整理,以飨读者。
 
 
研究背景
 
前列腺癌是许多高收入国家男性中最常见的癌症,全球每年有超过130万男性确诊。由于诊断时的风险类别和患者的预期寿命不同,前列腺癌的死亡风险也存在一定差异。因此,目前推荐低危患者进行主动监测,高危患者进行局部和全身联合治疗。大多数非转移性前列腺癌患者的病程很长,因此评估前列腺癌的终生死亡风险需要长达数十年的随访。由于大多数男性确诊时年龄>65岁,其他原因导致的死亡风险较高,因此评估预期寿命对于制定治疗决策至关重要。然而,目前尚无大规模人群研究评估根据现行指南治疗的非转移性前列腺癌男性的长期预后,包括预期寿命数据。
 
本研究旨在评估确诊为非转移性前列腺癌并主要根据《NCCN前列腺癌临床实践指南》(NCCN指南)进行治疗的男性,在开始治疗后长达30年内死于前列腺癌和其他原因的风险,并按风险类别和预期寿命进行分层。
 
研究方法
 
研究人员在瑞典国家前列腺癌登记处(NPCR)纳入了2000年至2020年期间确诊为非转移性前列腺癌的男性,分析特征包括Gleason评分、临床TNM分期、血清前列腺特异抗原(PSA)水平、前列腺体积和治疗数据等。排除临床局部分期T4或影像学检查发现淋巴结阳性患者,诊断时预期寿命不足3年患者,数据缺失患者,以及未登记影像学检查但根据T分期、Gleason评分和PSA水平被归类为高危或极高危癌症患者。研究人群根据NCCN指南(v4.2023)中的风险类别和预期寿命进行分层。
 
研究结果

基线特征
 
研究纳入2000年至2020年间的62,839名按照NCCN前列腺癌指南进行治疗的患者。中位年龄67岁(四分位距,62-73岁),中位预期寿命为18年(四分位距,13-22年),各风险类别的治疗方案相似。最常见的治疗方法是根治性前列腺切除术(42%;n=26,218),其次是放疗±ADT(22%;n=13,623)和主动监测(20%;n=12,603)。生存分析纳入了截至2008年1月1日仍存活的61,634名(98%)男性。随访结束时,2,636名男性(4.3%)死于前列腺癌,10,799名(18%)死于其他原因,48,199名(78%)被删失。
 
表1基线特征

根据前列腺癌风险类别模拟的死亡率
 
模拟的前列腺癌15年死亡率为5.5%(95%CI,4.8%-6.2%),低危亚组的其他原因死亡率为37%(95%CI,35%-39%)。极高危患者的前列腺癌死亡率是低危亚组的3倍,为22%(95%CI,21%-24%),而其他原因导致的死亡率略低,为36%(95%CI,34%-38%)。
 
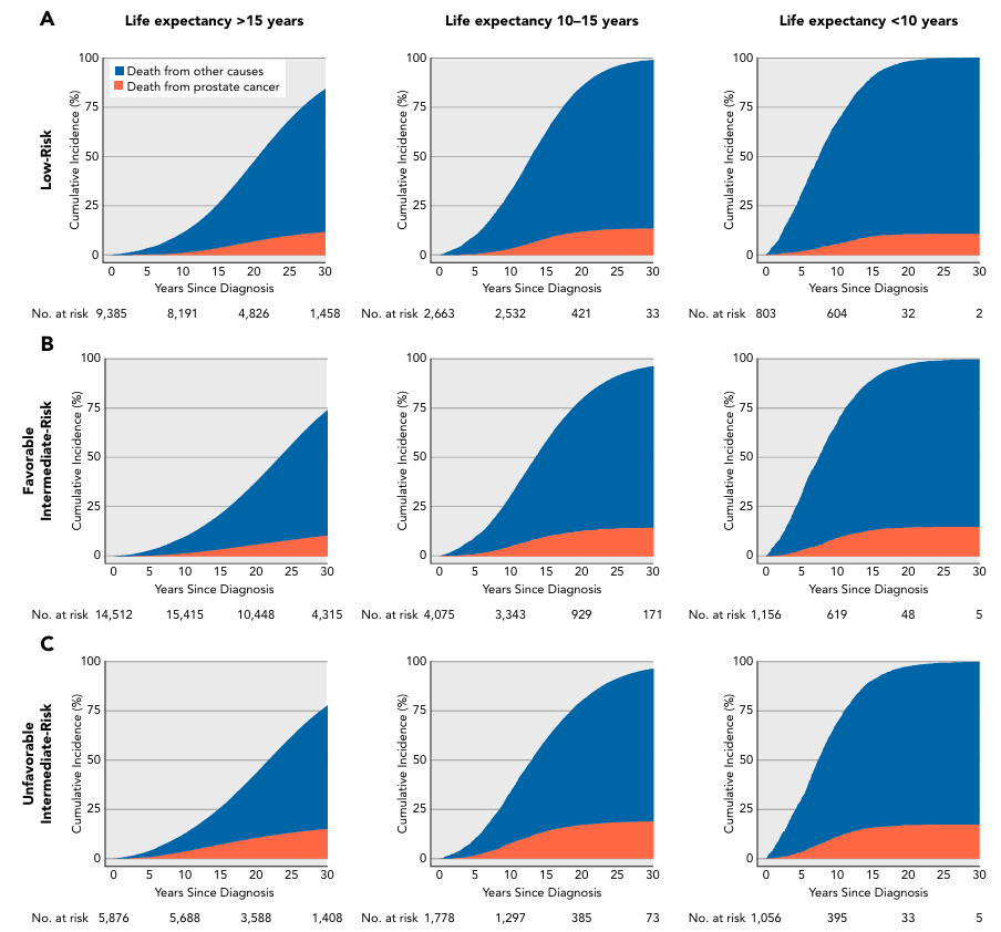
图1低危(A)、中低危(B)和中高危(C)患者前列腺癌和其他原因死亡的累积风险
 
对于低危前列腺癌患者,模拟的30年死亡率为12%(95%CI,10%-14%),其他原因死亡率为77%(95%CI,74%-80%)。中危亚组的估计值几乎相同。对于高危亚组,前列腺癌死亡率为20%(95%CI,18%-22%),其他原因死亡率为67%(95%CI,61%-73%);对于极高危癌症亚组,前列腺癌死亡率为30%(95%CI,29%-32%),其他原因死亡率为63%(95%CI,59%-67%)。
 
图2高危(A)和极高危(B)患者因前列腺癌和其他原因死亡的累积风险
 
死亡率与预期寿命的关系
 
在每个风险类别中,前列腺癌死亡率和其他原因死亡率均随预期寿命而变化。例如,对于低危患者,15年前列腺癌死亡率为2.5%~10%,而对于预期寿命>15年和<10年的男性,其他原因导致的死亡率变化范围为20%~81%。
 
图3象形图说明前列腺癌(黑色)和其他原因(蓝色)的30年死亡风险
 
模拟结果与观察结果
 
模拟结果与观察结果在15年后基本一致。差异最大的是低危前列腺癌男性,其观察到的其他原因死亡率(主要基于2008年之前确诊的男性)高于估计死亡率(主要基于2008年之后确诊的男性)。
 
研究结论
 
根据现行NCCN指南接受初始治疗的非转移性前列腺癌男性,死于其他原因的可能性比死于癌症的可能性高出6倍。预期寿命较长的男性,即使是高危患者,死于其他原因的可能性也是死于前列腺癌的两倍。研究人员对确诊后长达30年的前列腺癌特异性死亡率和其他原因死亡率的估计,为现代治疗的疗效提供了切合实际且较高的预期,可以作为临床疗效报告的基准。
 
▌参考文献:
Scilipoti P,Bratt O,Garmo H,et al.Long-Term Outcomes After Guideline-Recommended Treatment of Men With Prostate Cancer[J].Journal of the National Comprehensive Cancer Network,2025,23(7).

本内容仅供医学专业人士参考


前列腺癌

分享到: 更多