当前位置:肿瘤瞭望>资讯>研究>正文

王树森教授团队最新研究成果:探讨中国晚期乳腺癌的抗HER2治疗模式,寻找临床治疗的未竞之需

作者:肿瘤瞭望   日期:2025/7/10 14:02:24  浏览量:3211

肿瘤瞭望版权所有,谢绝任何形式转载,侵犯版权者必予法律追究。

随着靶向治疗的不断发展创新,HER2阳性晚期乳腺癌的治疗模式也在不断的更新变化,形成了大分子单抗(mAB)、小分子酪氨酸激酶抑制剂(TKI)和抗体偶联药物(ADC)三足鼎立的格局。然而,对于这些抗HER2靶向治疗的排兵布阵,从指南共识到真实世界存在怎样的差异?近日,《肿瘤学前沿》(Frontiers in Oncology)刊载了中山大学肿瘤防治中心王树森教授团队的一项多中心回顾性研究,探讨了我国晚期乳腺癌的抗HER2治疗模式。该研究成果曾被2025年日本肿瘤内科学会(JSMO)年会收录。

编者按:随着靶向治疗的不断发展创新,HER2阳性晚期乳腺癌的治疗模式也在不断的更新变化,形成了大分子单抗(mAB)、小分子酪氨酸激酶抑制剂(TKI)和抗体偶联药物(ADC)三足鼎立的格局。然而,对于这些抗HER2靶向治疗的排兵布阵,从指南共识到真实世界存在怎样的差异?近日,《肿瘤学前沿》(Frontiers in Oncology)刊载了中山大学肿瘤防治中心王树森教授团队的一项多中心回顾性研究,探讨了我国晚期乳腺癌的抗HER2治疗模式。该研究成果曾被2025年日本肿瘤内科学会(JSMO)年会收录。
 
 
研究简介
 
近年来,国内外涌现了许多性的晚期乳腺癌抗HER2治疗药物。由于指南共识推荐、药物可及性等多方面的差异,真实世界中的国内外晚期乳腺癌抗HER2治疗模式可能存在差异。这项多中心、非干预性、回顾性研究(NCT05769751),提取了来自中国5家中心的电子病历数据,以分析2020年1月1日至2022年8月31日收治的初诊HER2阳性转移性乳腺癌(HER2+mBC)的治疗模式和疗效。
 
研究共获得865例(100.00%)至少接受过一线晚期全身治疗的HER2+mBC患者资料,其中38.15%的患者有二线治疗信息,15.05%的患者有二线后的治疗信息。考虑到真实世界使用情况的复杂性,将抗HER2治疗分为以下6组:
  • mAB双靶治疗:98.45%为曲妥珠单抗联合帕妥珠单抗;
  • mAB单靶治疗:83.39%为曲妥珠单抗,15.88%为伊尼妥单抗;
  • 单药TKI治疗:95.33%为吡咯替尼,3.73%为拉帕替尼;
  • TKI+mAB治疗:77.45%为吡咯替尼+曲妥珠单抗,22.55%吡咯替尼+伊尼妥单抗;
  • ADC治疗:29.82%为德曲妥珠单抗(T-DXd),14.91%为维迪西妥单抗(RC48),11.4%为ARX788;
  • 非抗HER2治疗。
 
图1展示了一线和二线治疗中这6种治疗模式的比例:在一线治疗中,最常见的治疗方案是mAB双靶治疗(36.7%);而二线治疗最常见的则是单药TKI(34.45%)。
 
图1.一线和二线治疗模式
 
图2展示了从一线到二线的抗HER2治疗转换模式。在mAB单靶或双靶治疗后,最常用的治疗药物是TKI;而TKI治疗后,最常用的治疗药物是mAB单靶或双靶治疗、ADC。
 
图2.一线序贯二线治疗的常见治疗方案
 
既往治疗是影响医生选择一线治疗的关键因素。图3显示了一线治疗选择的分布。在571例未经抗HER2治疗的患者中,mAB双靶治疗是最常见(42.91%)的一线选择;在294例抗HER2经治的患者中,最常见的治疗方案则是单药TKI(39.46%)和mAB双靶治疗(23.13%)。
 
图3.抗HER2初治或经治患者的一线治疗模式
 
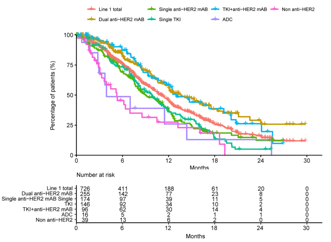
一线和二线治疗的中位真实世界无进展生存期(rwPFS)分别为11.04个月(95%CI:10.19-12.03)(图4)和7.59个月(95%CI:6.21-9.2)。在一线治疗的方案中,mAB双靶治疗患者的中位rwPFS最长,为13.57个月(95%CI:12.03-17.52),其次是TKI+mAB单靶治疗,中位rwPFS为12.98个月(95%CI:11.04-20.08)(图4,表1)。在一线接受曲帕双靶而二线转换为单药TKI治疗的患者中,观察到最长的中位rwPFS2(24.32个月),尽管样本量较小。
 
图4.总体人群和不同方案一线治疗的PFS
 
表1.不同方案一线治疗的PFS
 
多变量Cox回归模型分析显示,与(新)辅助治疗后<6个月内复发患者相比,>6个月复发患者的rwPFS更长(HR 0.65,P=0.008;校正HR 0.70,P=0.03);相比接受双靶一线治疗的患者,接受非双靶一线治疗的患者疾病进展或死亡风险显著更高(HR 1.60,P<0.001)。
 
表2.一线治疗方案与患者临床病理特征的多变量分析
 
这项较大样本的多中心真实世界研究总结了我国HER2+mBC的抗HER2治疗模式和疗效。在一线治疗中,最常使用的治疗方案是mAB双靶治疗,而经抗HER2治疗的患者常使用TKI;在二线治疗中,TKI也是最常见的治疗选择。这些数据凸显了我国HER2+mBC的抗HER2治疗仍存在未被满足的治疗需求。
 
研究者说
 
HER2阳性乳腺癌约占所有乳腺癌的15%-20%[1],此类肿瘤的侵袭性强、复发风险高、预后差,尤其mBC患者的5年生存率不足30%[2],亟需高效且规范化的治疗方案以改善生存结局。自1998年首个HER2靶向药物曲妥珠单抗问世以来,抗HER2治疗模式经历了多次变迁:从曲妥珠单抗单靶治疗,到曲妥珠单抗联合帕妥珠单抗的双靶治疗,再到ADC的更新换代,而我国则在小分子TKI领域取得不少突破进展。
 
近年来,III期DESTINY-Breast 03研究证实,新一代T-DXd用于HER2+mBC二线治疗,可相较于既往标准治疗T-DM1显著改善PFS(29.0 vs 7.2个月;HR 0.30,95%CI:0.24-0.38)和OS(52.6 vs 42.7个月;HR 0.73,95%CI:0.56-0.94)[3]。在一线治疗方面,我国学者领导的III期PHILA研究显示,吡咯替尼和曲妥珠单抗联合化疗一线治疗中位PFS相较于曲妥珠单抗联合化疗延长近14个月(24.3 vs 10.4个月;HR 0.42,95%CI:0.32-0.53)[4],但仍缺乏与曲帕双靶头对头比较的研究证据。因此,目前NCCN、ASCO、ESMO等国际指南共识主要推荐曲帕双靶一线治疗和T-DXd二线治疗。然而,由于药物可及性、医保覆盖和经济负担等差异,国内临床实践的真实世界治疗模式可能与国际指南推荐的标准治疗方案有所差异。笔者领导的这项多中心真实世界研究,揭示了我国HER2+mBC治疗模式的三大特征。
 
首先,一线治疗以曲帕等双靶治疗为主(占比36.7%),也有相当比例(14.10%)的mAB联合TKI,这一选择主要基于PHILA研究方案。再者,国内二线治疗仍以TKI单药常见(34.45%),ADC的应用仍有待提高(11.82%)。这主要由于T-DM1于2021年方才在国内被纳入医保目录,治疗可及性受限,而且后续的DB-03研究证实T-DXd的生存获益优于T-DM1,但T-DXd于2023年方才进入国内临床实践。第三,在抗HER2经治患者的一线治疗中,中国医生更倾向于TKI,也有部分选择mAB双靶治疗再挑战,实际上此类患者也应当是T-DXd这类新型ADC治疗的获益人群,因为DB-03研究亚组分析显示,既往(包括新辅助/辅助治疗在内的)0-1线(HR 0.33)或≥2线(HR 0.29)患者均有PFS获益[3]
 
自T-DXd进入国内临床实践以来,已深刻影响临床治疗格局,最新版的CACA指南和CSCO指南已将T-DXd作为HER2+mBC二线治疗优选治疗方案之一;而且该治疗方案的HER2低表达适应症和HER2+mBC二线治疗适应症均已经被纳入2025版国家医保目录。随着这些治疗格局的变化以及治疗可及性的提高,我国真实世界中的二线治疗模式有望进一步改变,T-DXd将满足更多的乳腺癌治疗需求。
 
参考文献
 
[1]Slamon DJ,Leyland-Jones B,Shak S,et al.Use of chemotherapy plus a monoclonal antibody against HER2 for metastatic breast cancer that overexpresses HER2.N Engl J Med.2001;344(11):783-792.doi:10.1056/NEJM200103153441101
 
[2]Dawood S,Broglio K,Buzdar AU,Hortobagyi GN,Giordano SH.Prognosis of women with metastatic breast cancer by HER2 status and trastuzumab treatment:an institutional-based review.J Clin Oncol.2010;28(1):92-98.doi:10.1200/JCO.2008.19.9844
 
[3]Cortés J,Hurvitz SA,Im SA,et al.Trastuzumab deruxtecan versus trastuzumab emtansine in HER2-positive metastatic breast cancer:long-term survival analysis of the DESTINY-Breast03 trial.Nat Med.Published online June 2,2024.doi:10.1038/s41591-024-03021-7
 
[4]Ma F,Yan M,Li W,et al.Pyrotinib versus placebo in combination with trastuzumab and docetaxel as first line treatment in patients with HER2 positive metastatic breast cancer(PHILA):randomised,double blind,multicentre,phase 3 trial[published correction appears in BMJ.2023 Nov 16;383:p2665.doi:10.1136/bmj.p2665.].BMJ.2023;383:e076065.Published 2023 Oct 31.doi:10.1136/bmj-2023-076065
 
王树森教授
中山大学肿瘤防治中心乳腺癌单病种首席专家
香港大学临床肿瘤学系荣誉教授
主任医师、博士生导师
中国临床肿瘤协会(CSCO)乳腺癌专家委员会副主任委员
中国研究型医院协会乳腺癌专业委员会副主任委员
中国抗癌协会乳腺癌专业委员会常务委员
广东省临床医学学会乳腺癌专委会主任委员
广东省癌症中心乳腺癌诊疗质量控制专家委员会主任委员
广东省胸部肿瘤防治研究会乳腺癌专业委员会主任委员
现在主要从事乳腺癌内科的精准治疗、化疗、内分泌治疗及靶向治疗。
主持国自然重点项目1项、面上项目1项,省科技厅项目3项,获国家科技重大专项资助1项。
主编教材《临床肿瘤学(clinical oncology)》,参编教材或专著多部。
作为主要执笔人或参与者制定了多项国家级的乳腺癌诊疗相关指南。
在国内外期刊以第一作者或通讯作者发表论文多篇,其中近年以来以第一作者或通讯作者于JAMA、JCO、STTT、CANCER COMMUNICATIONS等杂志发表SCI论文多篇。
作为主要研究者牵头发起多中心临床研究30多项,其中包括I期临床试验6项目,Ⅱ、Ⅲ期大型多中心临床试验多项。
 
黄嘉佳
主任医师、硕士导师、医学博士
从事乳腺癌临床工作,作为项目负责人承担国家自然、广东省自然科学项目、中山大学肿瘤防治中心优秀人才计划项目等课题多项,参加多项国际多中心新药注册临床试验。曾先后在南瑞士肿瘤研究所、加州大学圣地亚哥分校Moores Cancer Center从事访问学者进修。以第一作者或共同第一作者发表SCI论文多篇,其中包括《Annals of Oncology》、《Journal of the National Cancer Institute》、《Clinical Cancer Research》《Autophagy》等。
中国老年保健协会肿瘤免疫治疗专业委员会副主任委员
中国女医师协会第二届乳腺专业委员会常务委员
广东省医疗行业协会乳腺肿瘤内科管理分会副主任委员
广东省抗癌协会靶向与个体化治疗专业委员会青年委员会常务委员
广东省抗癌协会分支华南乳腺癌临床研究协作组委员
 
材料编码:CN-20250624-00009。本资料仅供医疗卫生专业人士参考,请勿向非医疗卫生专业人士发放

 

本内容仅供医学专业人士参考


乳腺癌

分享到: 更多