ASH 2023丨华西团队:异基因造血干细胞移植前、后倍利妥单抗和环磷酰胺剂量探索

作者:肿瘤瞭望   日期:2023/12/25 17:25:10  浏览量:11062

肿瘤瞭望版权所有,谢绝任何形式转载,侵犯版权者必予法律追究。

2023年12月9日-12日,第65届美国血液学年会(ASH)在美国加利福尼亚州圣迭哥市隆重召开。ASH年会是全球血液学领域最大最全面的涵盖血液病学基础和临床研究的国际盛会,会议将公布最顶尖的血液学领域研究信息,每年都吸引着来自世界各地的血液病学家和临床医生。今年,四川大学华西医院血液内科有2篇口头报告入选,现对这些研究进行深入解读:

编者按:2023年12月9日-12日,第65届美国血液学年会(ASH)在美国加利福尼亚州圣迭哥市隆重召开。ASH年会是全球血液学领域最大最全面的涵盖血液病学基础和临床研究的国际盛会,会议将公布最顶尖的血液学领域研究信息,每年都吸引着来自世界各地的血液病学家和临床医生。今年,四川大学华西医院血液内科有2篇口头报告入选,现对这些研究进行深入解读:
 
#1
Short-Term Blinatumomab As a Bridge Therapy for Hematopoietic Stem Cell Transplantation in B-Cell Acute Lymphoblastic Leukemia with Low Leukemia Burden
中文标题:短期倍利妥单抗桥接造血干细胞移植治疗低白血病负荷的急性B淋巴细胞白血病
摘要代码:ORAL#0234
汇报者:季杰
通讯作者:季杰

研究背景
 
在急性B淋巴细胞白血病(B-ALL)患者中,移植前白血病负荷对复发和长期生存的影响已得到充分证实。倍利妥单抗(Blinatumomab)是一种双特异性T细胞衔接抗体,在复发B-ALL中疗效显著。然而,倍利妥单抗的标准剂量(28μg/天,持续输注28日)主要是在复发B-ALL中确定的。因此,对于低肿瘤负荷的患者,标准剂量可能超过实际所需剂量,这可能导致药物毒性增加、计划移植的延迟进行和多余的经济支出。

研究方法
 
本研究纳入了计划接受异基因造血干细胞移植(Allo-SCT)的低肿瘤负荷(骨髓原始细胞≤10%)的B-ALL患者。肿瘤负荷采用多参数流式细胞术或针对靶基因的聚合酶链反应(PCR)定量检测。倍利妥单抗治疗初始剂量为8μg/天,在5~10天内逐渐增加至28μg/天,总剂量175μg。倍利妥单抗治疗后复查骨髓,并及时进行Allo-SCT。所有患者均接受了清髓性预处理(西达本胺、氟达拉滨、阿糖胞苷和白消安)。外周干细胞供者类型包括HLA匹配的同胞供者(MSD)、HLA匹配的无关供者(MUD)或单倍体供者(HID)。移植后急性移植物抗宿主病(GVHD)的预防包括移植后环磷酰胺(PTCy)和环孢素。HID移植受者在移植后+5~+35天加用吗替麦考酚酯。患者在移植后+1、+2、+3、+4、+6、+9、+12、+18、+24个月进行随访。
 
研究结果
 
本研究共纳入20名患者,其中男性7名,女性13名,年龄15~58岁,中位年龄为35.5岁。患者和疾病特征见表1。倍利妥单抗治疗期间,8例患者(40%)发生了1级细胞因子释放综合征(CRS),1例患者(5%)发生了2级CRS,未观察到3级或更高级别CRS。倍利妥单抗治疗后,所有患者均达到完全缓解(CR)和流式细胞术检测的微小残留病变(MRD)阴性。11例费城染色体阳性ALL患者中,5例未达到PCR测定的MRD阴性。4例患者供者为MSD移植,2例供者为MUD,14例供者为HID,从倍利妥单抗治疗到移植开始的中位时间为5.5天(1-29天)。中性粒细胞植入中位时间为12天(9-17天),血小板植入中位时间为13天(9-28天)。所有患者中位随访时间为10.2个月(2-21.7个月)。移植后第30天,所有患者均获得CR和MRD阴性,完全供者嵌合。II-IV级急性GVHD和III-IV级急性GVHD发生率分别为10.0%和5.3%(图1A)。1例患者在移植后7.2个月因COVID-19相关肺曲霉病死亡。在18例可评估患者中,慢性GVHD的估计1年累积发生率为44.4%,未观察到重度慢性GVHD(图1B)。至2023年7月31日末次随访时,无患者复发。估计1年无进展生存期(PFS)和总生存期(OS)均为90%(图1C)。
 
表1.患者和疾病特征
 
图1.患者急性GvHD、慢性GvHD累积发生率,总生存率及无进展生存率
 
研究结论
 
对于低肿瘤负荷的B-ALL成人患者,短期倍利妥单抗桥接Allo-SCT治疗在本病控制和患者生存方面显示出令人满意的疗效。
 
 
专家点评
 
刘霆教授:急性B淋巴细胞白血病(B-ALL)患者移植前微小残留病变(MRD)会增加移植后的复发风险,常规化疗很难对MRD进一步清除,从而影响患者移植后的长期生存。倍利妥单抗(Blinatumomab)是一种双特异性T细胞衔接抗体,在复发B-ALL和清除MRD中的疗效都已得到充分证实,可能是针对低肿瘤负荷的B-ALL患者治疗的新出路。本研究针对低肿瘤负荷的B-ALL患者使用短期、低剂量的倍利妥单抗治疗桥接异基因造血干细胞移植,患者均可以在倍利妥单抗治疗后快速达到血液学缓解及微小残留病变(MRD)清除的状态,其1年无进展生存期(PFS)和总生存期(OS)均为90%,证明短期倍利妥单抗桥接异基因造血干细胞移植在本病控制和患者生存方面显示出令人满意的疗效,为低肿瘤负荷的B-ALL患者提供了安全有效且经济的治疗方案。
 
#2
Phase I/II Study of Reduced Dosing of Post-Transplantation Cyclophosphamide(PTCy)after HLA-Identical Peripheral Blood Hematopoietic Stem Cell Transplantation
中文标题:HLA全相合外周血造血干细胞移植后降低剂量的移植后环磷酰胺(PTCy)的I/II期临床研究
摘要代码:ORAL#0650
汇报者:张航
通讯作者:季杰
 
研究背景
 
移植后应用环磷酰胺(PTCy)已成为HLA半相合骨髓移植的预防急性移植物抗宿主病(aGvHD)的标准方案。之前的研究表明,与标准剂量(50 mg/kg,移植后+3和+4天)相比,减半的环磷酰胺方案是可行和有效的。然而,在HLA相合的外周血干细胞移植(PBSCT)中,PTCy预防aGvHD的最佳剂量尚不明确。本研究的目的是探讨降低剂量的PTCy在HLA全相合的PBSCT患者中的疗效和安全性。
 
研究方法
 
本研究为前瞻性、单中心、I/II期临床研究,纳入拟接受HLA相合PBSCT的患者。aGVHD预防方案包括移植后第3、4天给予PTCy,第5天开始给予环孢素。在I期试验中,初始剂量为50 mg/kg,第+3和+4天(剂量水平1,DL1)。随后是3+3剂量递减设计,后续剂量水平如下:DL2,第+3日50 mg/kg/天,第+4日25 mg/kg;DL3为25mg/kg/天,第+3和+4天。降级过程中的剂量限制性毒性定义为在移植后100日内发生III-IV级aGvHD。
 
II期研究为基于I期研究确定的最佳剂量的扩展队列。aGvHD分级采用西奈山aGvHD国际联盟(MAGIC)标准,慢性GVHD(cGvHD)采用美国国立卫生研究院最新的cGvHD共识进行评估。移植后+1、+2、+3、+4、+6、+9、+12、+18、+24个月对患者进行密切随访。
 
研究结果
 
第一阶段共纳入11例患者(DL1有5例,DL2有3例,DL3有3例),无患者发生III-IV级aGvHD。在此基础上,选择DL3作为II期PTCy剂量,共18例患者。共纳入29例患者(女17例,男12例),中位年龄39岁(17-65岁),中位随访时间12.7个月(2.2-22.1个月)。患者和疾病特征见表1。移植后第30天,所有患者均达到完全缓解(CR)和微小残留病(MRD)清除。移植后100天内无一例患者发生III-IV级aGVHD。
 
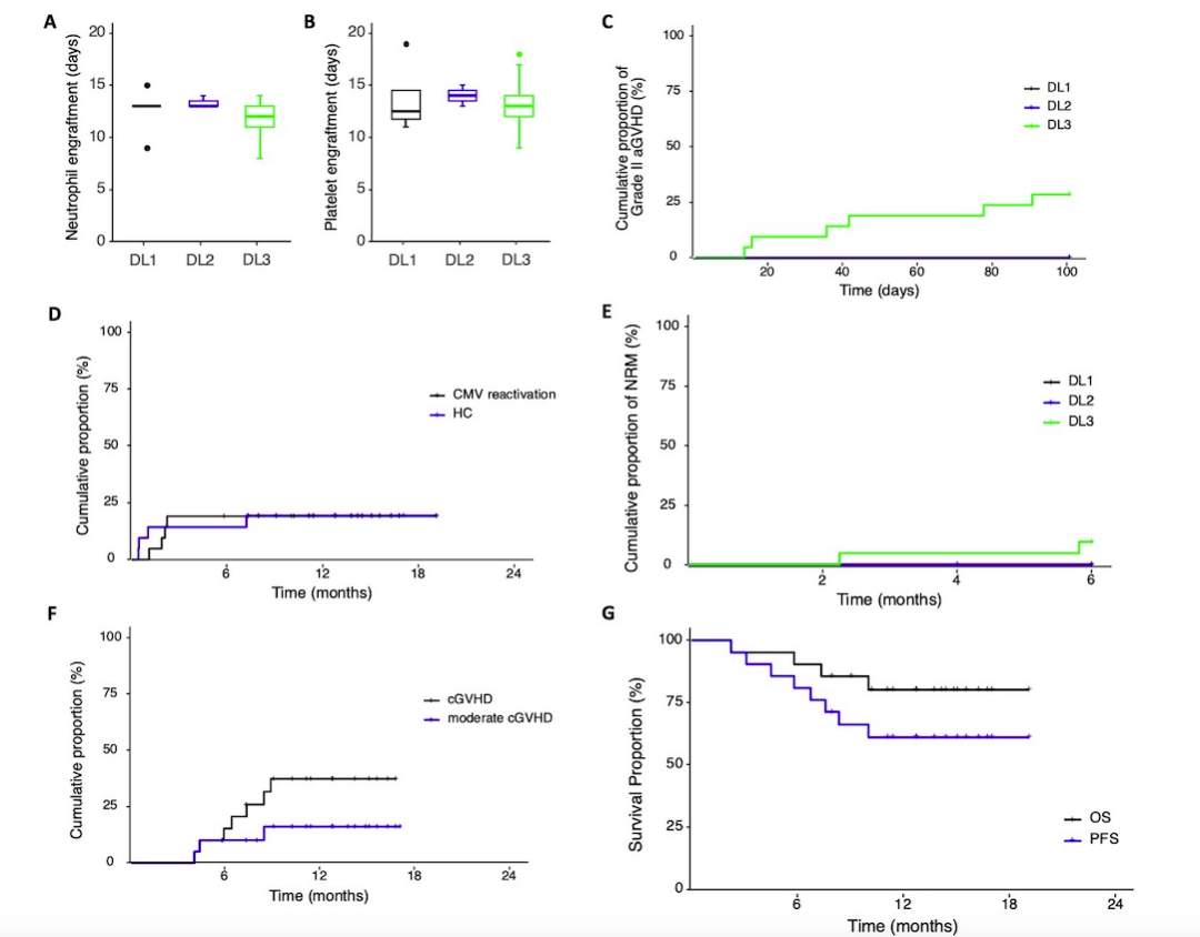
三组的中性粒细胞和血小板植入时间无显著差异(图1A,B)。在接受DL3剂量PTCy的21例患者中,第+100天时II-IV度aGVHD的累积发生率为28.6%,在三组剂量组之间无显著差异(图1C)。DL3组中1例患者于第+141天发生IV级肠道aGVHD,并于1个月后死亡。出血性膀胱炎(HC)和巨细胞病毒(CMV)再激活的估计1年累积发生率分别为19.3%和19%(图1D)。共5例患者(均为DL3组)复发,中位复发时间为6.7个月,1年累积发生率为10.6%。本研究期间共有5例患者死亡(1例发生在DL1组,4例发生在DL3组),1例死于复发,2例死于COVID-19相关的肺曲霉菌病,1例死于败血症,1例死于IV级aGVHD。估计6个月NRM累积发生率为9.5%,且三组之间无差异(图1E)。在20例可评估患者中,慢性GVHD(cGVHD)和中度cGVHD的估计1年累积发生率分别为37.3%和16%(图1F),未观察到重度cGVHD的发生。估计1年无进展生存期(PFS)和总生存期(OS)分别为61.2%和80.4%(图1G)。
 
表1.患者和疾病特征
 
图1.患者植入时间、CMV再激活、出血性膀胱炎、急性GvHD、慢性GvHD累积发生率、非复发死亡率、总生存率及无进展生存率
 
研究结论
 
本研究结果证实PTCy 25 mg/kg/d,第+3、+4天的给药方案是一种有效且安全的aGVHD预防措施,与标准剂量效果相当。为了明确降低PTCy剂量是否优于标准剂量,我们需要进行长期随访和更大样本的对照研究。
 
 
专家点评
 
刘霆教授:移植后环磷酰胺(PTCy)已成为异基因造血干细胞移植的预防移植物抗宿主病(GvHD)的标准方案。然而目前的标准剂量(50 mg/kg,移植后+3和+4天)是由动物皮肤移植模型换算得来的,且临床上并没有进行严格的剂量摸索。本研究基于之前的骨髓移植中的剂量减量研究,在HLA全相合外周血造血干细胞移植中进行药物剂量递减研究,结果证实减量的PTCy对比标准剂量有相似GvHD的预防效果,是安全有效的GvHD预防措施,为进一步优化PTCy的临床用药提供了重要的指导。

 

 

 

 

本内容仅供医学专业人士参考


异基因造血干细胞

分享到: 更多